技术文章
Technical articles
更新时间:2023-04-03
点击次数:1466
微针是一种微创透皮给药系统,能成功穿透皮肤角质层,克服皮肤屏障,将药物直接递送至真皮层。微针不会造成疼痛和出血,这是因为微针的针长较短,能避免触及真皮组织的神经和血管。根据微针递送药物的方式,可以将微针分为固体微针、中空微针、涂层微针以及可溶性微针( dissolving microneedles,DMNs) 等。固体微针通常由金属、陶瓷等材料制备得到,生物相容性差,对皮肤具有刺激性; 中空微针若微通道堵塞则可能会阻碍药物的运输; 涂层微针中涂层的配方和工艺会影响药物的透皮递送; 而DMNs 可以在真皮微循环内的组织液中溶解或降解,避免尖锐废弃物的产生,因此其备受研究者青睐。
DMNs 多采用聚合物制备得到,如聚维酮( PVP) 、透明质酸( HA) 、聚乙烯醇( PVA) 、羟丙甲纤维素( HPMC) 、甲基乙烯基醚/马来酸酐共聚物( copolymers of methyl vinyl ether and maleic acid,PVM/MA) 、甲基乙烯基醚/顺丁烯二酸酐共聚物( copolymers of methyl vinyl ether and maleic anhydride,PMVE /MAH) 等。单一微针材料常难以满足所有需求。单个聚合物制备得到的微针机械强度足够但易断裂,或韧性过大难以成功插入皮肤,将2 种或2 种以上的材料进行复合制备得到的复合微针往往具有更好的性能。
上海腾拔Universal TA质构仪力量精度和位移精度高,而且仪器性能稳定,非常适合于微针等细小样品和微力样品的机械性能测试,可以获得微针的屈服力、断裂力和进行模拟皮肤穿刺实验。

1、可溶性微针制备方法

2、可溶性微针机械性能测试
研究人员采用PVM/MA( GantrezS97 ) ,PMVE /MAH ( Gantrez AN139 ) ,PVP K29 /32,PVP K90,PVA 05 - 88,HPMC E5 为基质材料,比较不同聚合物对微针性能的影响,初步筛选适合用于微针制备的材料。将2 种材料复合制备微针,研究不同比例的聚合物材料组合对微针性能影响的变化规律,以弥补单一材料的缺陷并实现不同材料之间的优势互补,有望对微针作为经皮给药系统递送药物的可行性提供有效的材料筛选和复合手段。
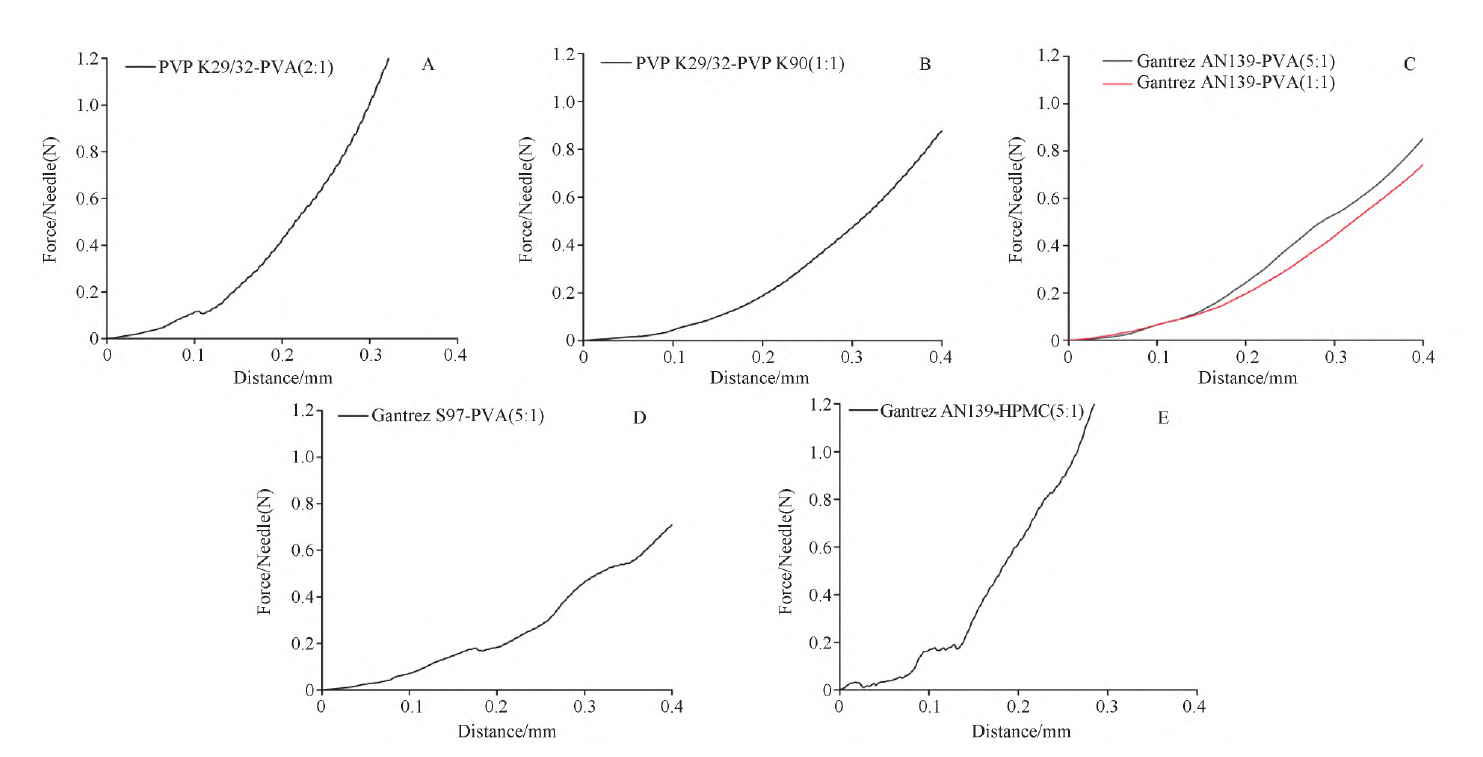
使用质构仪对微针进行机械性能评估,将裁切好的微针置于质构仪的水平平台上,针尖朝上,采用圆柱形探头以一定速度垂直平面向下移动,记录整个测试过程的微针所受力,并绘制力-位移曲线。

PVPK29 /32 与PVA 05-88 比例为2∶ 1 复合微针的断裂力约为每针0. 12 N,PVM/MA S97 与PVA05-88( 5 ∶ 1 ) 复合微针的断裂力约为每针0. 17 N。PMVE /MAH AN139 与HPMC E5 复合微针随着形变量增加,作用力出现一系列下降,这可能是因为微针部分断裂导致,该复合微针的初次断裂力约为0. 19 N。PMVE /MAH( AN139) -PVA 05-88 ( 1 ∶ 1) 、PMVE /MAH( AN139) -PVA 05-88( 5∶ 1) 微针和PVPK29 /32-PVP K90( 1∶ 1) 微针微针针尖的应力随着针尖形变量的增大缓慢增加( 图9) ,且未观察到明显的断裂点,针尖形变量为200 μm 左右时,针尖受到的压力分别为每针0. 20、0. 24 和0. 19 N。研究表明,当针尖直径在60 ~ 160 μm 之间时,微针刺破皮肤所需的插入力约为0. 08 ~ 3. 04 N。前期实验对制备得到微针的直径大致测量,其直径约为40 μm,即理论上这些优势处方均能成功刺破角质层且不发生断裂。
来源:复合材料制备可溶性微针及性能研究 《中国药学杂志》 2022 年6 月第57 卷第11 期